Cummins jeneratörü neredeyse en popüler jeneratör seti her türlü elektrik santrali endüstrisinde yaygın olarak kullanılmaktadır bütün dünyada. Cummins dizel motorunun global servis ağı müşterilerine güvenilir ve garantili hizmet sunmak. Güç aralığı Cummins jeneratör itibaren 24kW kadar 1800kw .
1. Cummins Motor Jeneratörü Ana Özellikler
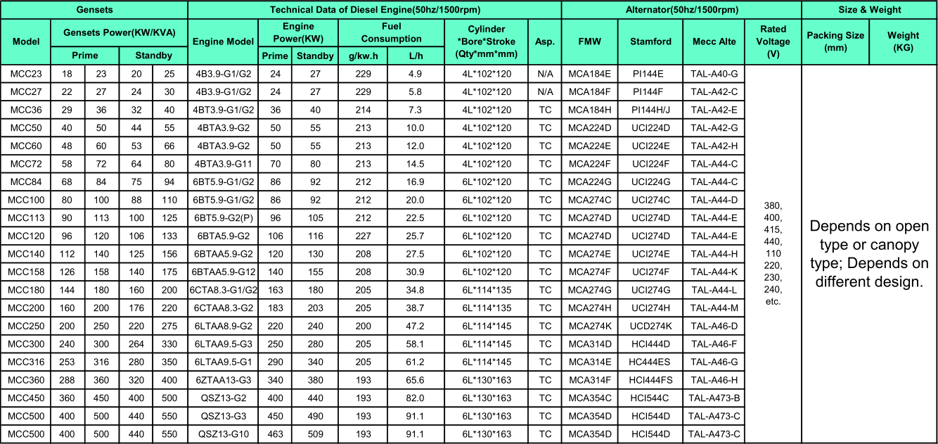
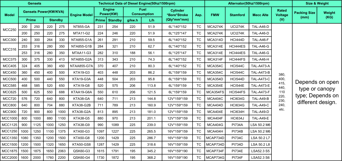
Dongfeng Cummins Jeneratör

Chongqing Cummins Jeneratör

2. Cummins Jeneratör Se t
3. Jeneratör Özellikleri ve Tedarik Kapsamı
|
Standart parçalar
|
İsteğe bağlı parçalar
|
|
Yepyeni Ricardo, Lijia ve Styer serisi dizel motor
|
Orijinal Stamford, Leroy Somer ve Mecc Alte alternatör
|
|
Yeni fırçasız MCA alternatör (Sınıf H, IP23, AVR)
|
Otomatik Transfer Anahtarı (A.T.S) jeneratör kontrol sistemi
|
|
8 saat yakıt tankı ile ağır çelik taban çerçevesi
|
Paralel kontrol jeneratör kontrol sistemi
|
|
Sessiz jeneratör için 2MM-4MM çelik ses geçirmez gölgelik
|
8 saatten büyük özelleştirilmiş yakıt deposu koşu
|
|
Koruma ağlı radyatör radyatörü
|
Ağır 50 ℃ pirinç radyatör
|
|
Ağır kauçuk anti-titreşim damperi
|
Deepsea7320, Smartgen6110 veya ComAp AMF25 jeneratör kontrolörü
|
|
Esnek ağızlı ağır sanayi tipi susturucu
|
Aşırı soğuk havalarda su ısıtıcısı / yağ ısıtıcı
|
|
Devlet standardı yüksek performanslı bakım gerektirmeyen akü
|
ABB, Schneider ve Siemens gibi elektronik
|
|
Deepsea6020, Smartgen420 veya ComAp MRS11 jeneratör denetleyici
|
İle Cumtomized süper sessiz gölgelik yüksek yoğunluklu sünger
|
|
Düşük yağ basıncı, aşırı ısınma, aşırı yüklenme ve aşırı hız koruması
|
Paslanmaz çelik anahtarlar, yağ boşaltma pompası, toz filtresi gibi özel parça vb
|
|
Kablo, dolaşım şalteri, röle, lamba, sigorta, stop gibi durum standartlarında elektronik parçalar cihaz.
|
Ekstra motor ve alternatör olarak yedekler Filtre, conta, meme, AVR, redresör
|
|
Jeneratör, motor ve alternatörün kullanım kılavuzları ile takım takımı
|
Bakım için araçlar çeşitleri ile lüks araç kiti kutusu
|
4. Ölçüt ve Sertifika

5. Dizel Jeneratörümüzün Avantajı

① Yüksek Standart malzemeler ve yedekler
● Vidalar, rulmanlar, gürültü süngerleri, teller, titreşim emici, röle, AVR, diyot, göstergeler, çamlar, bakır tel, çelik levhalar, metre, kontrolörler, pil, AMF, ATS ve benzeri.
② Yüksek Eğitimli ve Deneyimli Araştırma ve Geliştirme ekibi
● son derece profesyonel bir araştırma ve geliştirme ekibi ile, sadece FMW güç üretici standart olabilir değil güvenilir kaliteli jeneratör ama aynı zamanda FMW güç süper sessiz jeneratör gibi jeneratörün farklı türde tasarım, konteyner güç istasyonu, müşterinin benzersiz taleplerine göre akıllı jeneratör.
③ Güvenilir Performans ve Ölçüt
Voltaj regülasyonu:
● Serbest yük ayar aralığı 95 (95-105)% Un
● Sabit voltaj regülasyon oranı ± 1,0 ﹪
● Tr geçici durum voltaj regülasyon oranı + 20 ﹪ / -% 15
● Gerilim kurtarma süresi≤1.0S
● Voltaj dalgalanma oranı ± ± 0,5
● Soğuk / sıcak durum voltaj oranı≤2 ﹪
Frekans / Hız Düzlemi:
● Yükü% 0-100, Frekans / Hız Düşüş Oranı% 5 olarak değiştirin.
●% 25-100 arası yük,% 0,25'lik sabit yükte Frekans / Hız dalgalanması
Telekom Etkisi Faktörü:
● TIF (MA MG1-22) 50'den daha iyi
● THF (BS EN60034)% 2'den daha iyi
kriter:
● ISO8528, GB / T2820
● EN12601: 2001, EN60034-22: 1997, EN60204-1: 2006
● ISO9001: 2008 Kalite Kontrol Sistemi
● İzolasyon Direnci GB5226.1-2002-19.3 uyarınca test edilmiştir.
● Dayanma Gerilimi GB7'ye göre test edilmiştir 55-2000-8.1 (60V ile 1500V)
● Tüm elektrik yedek parçaları uygun olarak test edilmiştir GB5226.1-2002-19.6 ile
● Mekanik Güvenlik uygun olarak test edilmiştir GB / T820.8-2002-6.3 ile
● Yangına Dayanıklılık, GB / T2820.8-20'ye uygun olarak test edilmiştir. 02-6,4 / 6.5
● Tüm jeneratör setleri kesinlikle% 25,% 50,% 75,% 100 ve% 110 Yüklü olarak denetlenir.